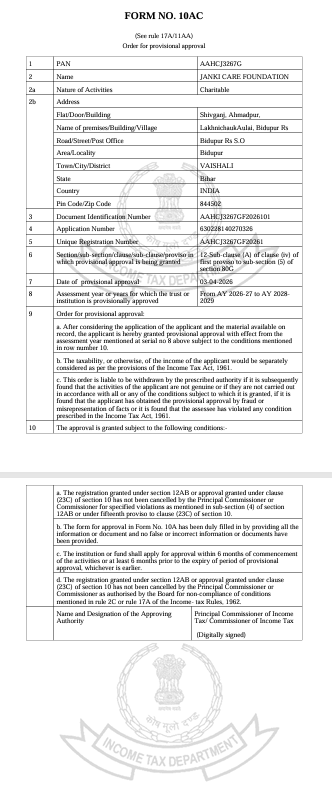
All Donations are exempted Under Section 80 G(5) (V) of Income Tax Act 1961.
Home / Certificate
Head Office: G-1, D-80 Sector 2, Noida Gautam Buddha Nagar, Uttar Pradesh – 201301 India
Phone: +91 7370921742, 8743975447
Email: jankicarefoundation@gmail.com
© Janki Care Foundation 2026 | Built by Innova Bharat